图片

篮球比分直播_极速体育-app下载

当前位置:主页 > 毕业论文 > 理学 > 物理学 > >

正反态物质及新宇宙模型

来源::未知 | 作者:篮球比分直播_极速体育-app下载 | 本文已影响

我们知道,在著名的Dirac方程中,出现了负能态。一时期有人建议将它强行抛弃。但是,后来发现,有两条基本理由反对抛弃负能态。第一条理由是理论物理上的。即由Dirac方程得出,开始时处于正能态的体系有诱导跃迁到负能态的几率,因此,若抛弃负能态,会出现矛盾;第二条理由是数学上的,即抛弃负能态会导致波函数集合不完备,而任意函数无法表示为一个不完备的函数集展开式。

  因此,负能态是必要的,负能态是物质存在的基本形态之一,是客观存在。

  从时空点1到时空点2的相对论情况下的传播子

  可以看出,t2 时刻x2 处的波函数是由二相项决定的,头一项是来自早些时候的正能态的贡献,而第二项来自迟些时侯的负能态的贡献。

  这说明,正能态与负能态是紧密相关的,它们是同一物质的不同运动状态。

下面我们考虑宇宙力的问题:

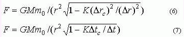
我们考虑相对论情况下的万有引力定律为:


再考虑量子测不准原理有:


当 △r〈△rc或△t<△tc;即物质的活动空间足够小或物质的存在时间足够短,则其内部物质力将由正值变为负值,即万有引力将变为万有斥力;也就是说,此时,时空进入反时空,物质成为反物质,这也是就是宏观内看不到反物质的根本原因。但可以说,反物质(即反宇宙)无处不在,无时不在。
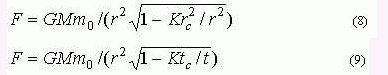
同样,若把我们目前的宇宙初期定义为r0=0或t0=0时,(r为宇宙半径,t为宇宙时)则有:


当r<rc或t<tc时,宇宙力将由正值变为负值,即万有引力变为万有斥力;也就是说,宇宙进入反宇宙。由上所述,我们可以建立一个宇宙模型,我们称为关屹瀛模型,如图(1)

:AB-O-DC区(即环内双喇叭区) 构成虚时空(反态),它是高能态区,能量为负值,空间曲率为负值,满足罗氏几何性质;AB- FE-DC区(即球外表面)构成实时空,它相对于虚时空为低能态,能量为正,空间曲率为正,满足黎氏几何性质。虚时空中不存在事物间的普遍联系,因果律也不再成立.用数学言语言说,即罗氏空间里,过直线外一点, 可做无数条直线不与该直线相交;在黎氏空间中,过直线外一点的所有直线都与该直线相交.AB,DC构成视界环.。从外部看,DC环构成白洞,AB构成黑洞,黑洞与白洞通过O段相连通。

现在,假设一物质以恒定速率由O处开始向下旋转,当旋过DC时,时间反转,由负变正,手性翻转,反态物质 变为正态物质,继续旋至AB时,时间,手性再次翻转,时间由正又变为负,物质态又变为反物质态。因此,上述过程可以说成一电子_正电子对在CD处产生,并沿时间正向运行至AB处湮灭。另外,同样也可以说,有一粒子从CD处起经EF运动至AB处,在这一段中,粒子显负电性;当粒子从AB经O点逆时间旋至CD处时,在这一段中粒子显正电性。

如果我们沿中线切开模型,从横断面看一侧,如图2。则物质由O经内侧至D,再经外侧F至B,再经内侧至O点的过程,可看成是经O-D-F-B的过程,这类似粒子在时空图中做匀速运动。如果把这一过程投影在空间轴上,则这一过程又形成一个简谐振动过程。假设规定空间轴由模型外部指向内部为正,则图2中粒子运动在空间轴上的投影,在D-F-B段,力为正,以引力为主;在B-O-D阶段,力为负,以斥力为主。粒子在时空图中B、D点上的运动速度在空间轴上的投影,其速率最大,方向相反,而加速度为零。在O、F点处运动速度在空间轴上投影速度为零,但加速度绝对值最大,且符号相反。如果把上述过程投影在二维空间平面上(图3),则可见,宇宙初期为超光速加速膨胀,以斥力为主,为罗氏空间,空间曲率为负,为负能态区;当膨胀到一定尺度(r=rc或t=tc)时,宇宙开始低光速减速膨胀,此时以引力为主,为黎曼空间,空间曲率为正,为正能态区。由于引力的作用,宇宙膨胀到一定程度时,开始低光速加速收缩,此时仍为黎曼空间,仍以引力为主;当收缩的一定尺度(r=rc或t=tc,即视界面)时,宇宙开始超光速减速收缩,此时又以斥力为主,又为罗氏空间。宇宙就是这样循环往复的。

另外,当物质空间足够小(或许在普朗克尺度以下)或物质发生时间足够短时,将进入超光速的负的高能态罗氏空间中,宇宙力将改变符号,以斥力为主,这一空间形成小宇宙,小宇宙同样遵循关屹瀛环式宇宙模型。小宇宙与我们宏观宇宙之间存在由近光速构成的视界面,这些特殊区域(小宇宙)将在我们目前的宏观宇宙中形成大量小的黑洞和白洞。由于视界环上运动的物质在空间轴上的投影形成了以光速运动的物质构成的视界面, 但界面内的观察者仍可以认为其所在宇宙是无限的,因为,依照公式(2)所有不断接近界面的观察者的尺,都在随速度的不断增大而不断缩短.因此, 该观察者可以用它的尺无限地丈量下去,而永远也不能到达以光速运动的物质构成的宇宙的边界.由哈勃定律可知,在距离我们十分遥远的宇宙深处运动的物质,其速度是可以无限地接近光速.在那里由于十分接近宇宙的边缘,正物质与反物质相互作用也十分剧烈,其作用的结果产生了大量的高能伽玛光子,这种光子将均匀地弥漫在整个空间.这就是宇宙深处强烈物质脉动现象及伽玛射源的弥漫性来源。

  所以,正、反态物质的区别:在时间上,表现为一个在时间正向运行,一个在时间中逆向运行;在空间上,表现为加速度符号相反。

  至此。可以推断,在同一的不变的参考系中,其粒子的加速度符号不同,必然显示出不同的电荷性质。由此,可以解释雷雨云中电荷的形成与分布,以及降水电荷的形成与分布。


篮球比分直播_极速体育-app下载

更多关于“物理学”的文章

热榜阅读TOP

本周TOP10

原子核接触形结构形式

原子核接触形结构形式

摘要 : 物理理论有两个断层:一个核力性质,一个是核的结构。第一部份该说核力的性质,但全是推导,根据...